ANÁLISE COMBINATÓRIA

COMBINAÇÕES

 

1. ( AMAN - RJ ) As diretorias de 4 membros que podemos formar com 10 sócios de uma empresa são:

  1. 5040
  2. 40
  3. 2
  4. 210
  5. 5400

2. ( U. VIÇOSA - MG ) Com um conjunto de 10 peças distintas, o número de grupos diferentes, de três peças, que podem ser formadas, é:

  1. 3 !
  2. 7 !
  3. 10 !
  4. 720
  5. 120

3. ( CESGRANRIO ) Seja M um conjunto de 20 elementos. O número de subconjuntos de M que contém exatamente 18 elementos, é:

  1. 360
  2. 190
  3. 180
  4. 120
  5. 18

4. ( UEPG - PR ) Em uma circunferência são marcados 7 pontos distintos: A, B, C, D, E, F e G. Com estes pontos, quantas cordas podem ser traçadas ?

  1. 42
  2. 14
  3. 21
  4. 7
  5. 28

5. ( ACAFE - SC ) Diagonal de um polígono convexo é o segmento de reta que une dois vértices não consecutivos do polígono. Se um polígono convexo tem 9 lados, qual é o seu número total de diagonais ?

  1. 72
  2. 63
  3. 36
  4. 27
  5. 18

6. ( FCMSC - SP ) Num hospital há 3 vagas para trabalhar no berçário, 5 no banco de sangue e 2 na radioterapia. Se 6 funcionários se candidatam para o berçário, 8 para o banco de sangue e 5 para a radioterapia, de quantas formar distintas essas vagas podem ser preenchidas ?

  1. 30
  2. 240
  3. 1120
  4. 11200
  5. 16128000

7. ( CEFET - PR ) Sendo A = { 1, 2, 3, 4, 5, 6 }, o número de subconjuntos de A que tem menos de 3 elementos é:

  1. 41
  2. 38
  3. 27
  4. 22
  5. 19

8. ( MACK - SP ) O numero de triângulos determinados por 7 pontos distintos, 4 sobre uma reta e 3 sobre uma paralela á primeira, é:

  1. 60
  2. 30
  3. 20
  4. 10
  5. 5

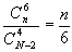
9. ( CEFET - PR ) Qual é o valor de n para que  ?

  1. 4
  2. 1
  3. 6
  4. 2
  5. 8

10. ( CESCEA - SP ) De quantas maneiras distintas um grupo de 10 pessoas pode ser dividido em 3 grupos, de 5, 3 e 2 pessoas ?

  1. 2340
  2. 2480
  3. 3640
  4. 2520
  5. 3200

11. ( CEFET - PR ) De Uma comissão técnica formada por engenheiros e economistas, deve Ter 5 elementos, dos quais 0elo menos 2 devem ser engenheiros. Se são disponíveis 4 engenheiros e 5 economistas, o número possível de comissões distintas é:

  1. 18
  2. 23
  3. 35
  4. 105
  5. 240

12. ( UFSM - RS ) Uma enfermidade que tem sete sintomas conhecido é detectada pelo médico, se o paciente apresentar 4 ou mais desse sintomas. Para que seja feito um diagnóstico seguro, o número de combinações possíveis de sintomas diferentes é:

  1. 1
  2. 7
  3. 21
  4. 35
  5. 64